Les mathématiques peuvent toujours être l'une des matières les plus difficiles étudiées à l'école. Fait de chiffres, de symboles et parfois de lettres: un vrai cauchemar pour ceux qui ne peuvent pas le comprendre tout de suite.
La seule astuce pour bien comprendre cette affaire difficile est de commencer du bon pied et de ne pas perdre de pas. C'est pourquoi dans cet article, nous vous guiderons pas à pas dans l'un des sujets les plus ennuyeux: le pourcentage.
Nous vous expliquerons, étape après étape, comment cela fonctionne, ce qu'il est et comment il est calculé.
Commençons donc par les bases.

Quel est le pourcentage?
Le pourcentage (symbole %) est un outil mathématique d'utilisation courante qui décrit la taille d'une quantité par rapport à un autre. La quantité de base dont il commence est à 100%.
Bien que l'utilisation du pourcentage soit répandue dans la vie quotidienne (elle pense également à ce qui est utilisé pour servir les produits en vente dans les magasins), il n'est pas aussi immédiatement compréhensif que souvent, on pourrait le penser.
Pour être clair la signification d'un nombre qui exprime un pourcentage, il faut d'abord comprendre quelle est la taille de référence.
En fait, si vous modifiez la taille de la référence, le pourcentage de pourcentage change immédiatement. Bien que le passage soit trivial, il est très souvent sous-estimé précisément en raison de sa simplicité, générant une confusion.
En comparant les augmentations de pourcentage ou les réductions de pourcentage, il est toujours essentiel de considérer ce qu'est la base. En fait, il n'est pas toujours possible de faire des considérations valables en ajoutant ou en soustrayant les pourcentages.
Pourcentage de définition
Le pourcentage est l'une des représentations numériques possibles de la relation entre deux quantités (AEB). Rapport dans lequel l'un (a) est exprimé en cents (cents-) de l'autre (b). Sur le plan opérationnel, il est obtenu en multipliant le quotient (A / B) de la division entre les deux quantités:
Ou aussi:
- qui représente la proportion
La quantité « de base » bque vous souhaitez représenter à 100%, doit être placé dans le dénominateur. Tandis que la quantité àqui doit être comparé, doit être placé sur le numérateur.
Enfin, le résultat doit être interprété dans le sens à c'est la même chose que n parties centessimales de b:
En réalité, il n'y a pas de raisons particulières pour lesquelles nous devons de préférence exprimer une relation en pourcentage, sinon leur meilleure compréhension des gens en raison de leur utilisation commune, en particulier pour les relations «sous».
Le pourcentage est largement utilisé avant tout dans les statistiques, également parce qu'elle est liée à l'idée intuitive de «combien de Je trouve que si j'en prends 100 au hasard « Et donc au concept d'échantillon.

Statistiques
Les statistiques sont une discipline qui a le but de l'étude quantitative et qualitative d'un phénomène particulier dans des conditions d'incertitude ou de non-déterminisme; Autrement dit, pas une connaissance ou une partie de celui-ci.
Il s'agit d'un outil de la méthode scientifique et utilise les mathématiques et la méthode expérimentale pour étudier les façons dont un phénomène collectif peut être synthétisé et compris. Cela se produit grâce à la collecte et à l'analyse des informations relatives au phénomène étudié.
Avec le terme statistiques, dans le langage quotidien, les résultats numériques sont également indiqués (les statistiques mentionnées dans les nouvelles, par exemple: inflation, PIB, etc.) d'un processus de synthèse des données observées.
Cela dit: Comment calculez-vous vraiment le pourcentage?
Pourcentage de calcul
Commençons par des exemples pratiques pour mieux comprendre cette fonction.
Et nous commençons à analyser la fraction, nous verrons comment ils peuvent être transposés sous forme de pourcentage.
Du hameau au pourcentage
Nous pouvons tout expliquer très facilement. Si nous considérons une fraction comme « m / n de quelque chose« , En pourcentage, cette fraction peut être exprimée comme »m / n * 100% de quelque chose«.
Passons à des exemples pratiques, si: 1/4 des élèves qui composent une classe sont des hommes, cela signifie que seulement dans la classe, il y aura un pourcentage en ces termes: 1/4⋅100% = 25%.
On peut donc dire que 25% de la classe est un sexe masculin.
De plus, on peut dire que d'autres peuvent par conséquent que le reste de la classe est une femme, à savoir: 100% −25% = 75%.
Du pourcentage au hameau
Une autre procédure à retenir est celle inverse. C'est-à-dire celui qui parvient à transformer un pourcentage en une fraction.
Découvrons comment cela fonctionne.
Ce n'est pas compliqué, utilisez simplement un peu de logique et de raisonnement. En fait, si nous sommes devant le « X% de quelque chose »cela signifiera que nous aurons « X / 100 de quelque chose ».
Mais voyons un exemple pratique, pour mieux comprendre ce dont nous parlons:
35% des 20 élèves composés d'une classe sont des hommes. Cela signifie que sur 20 étudiants seulement 7 étudiants sont des hommes.
Comment y arrivez-vous?
Simple: 35 / 100rThi20 = 7
Donc, par conséquent, nous devons simplement appliquer une soustraction simple pour comprendre que les filles ont 13 ans. C'est: 20-7 = 13 sont des femmes.
Voyons maintenant comment les proportions sont appliquées dans ces calculs.

Les proportions du calcul en pourcentage
Ici aussi, il suffit d'utiliser la logique et d'apprendre la procédure à bien appliquer.
Passons directement à un exemple: si dans une classe 4 sur 25 étudiants, ils pratiquent le sport, pour calculer le x% des étudiants qui pratiquent le sport, définissez simplement la proportion suivante: 4: 25 = x%: 100%, à partir de laquelle:
des étudiants.
Par conséquent, les 100% restants -16% = 84% des étudiants ne pratiquent pas les sports.
Le pourcentage de remise
Passons maintenant aux exemples et calculs qui peuvent être plus utiles dans la vie quotidienne: comment calculer les pourcentages de remise.
Certes, ces calculs, avoir une implication plus réelle dans la vie quotidienne suscitera beaucoup plus votre intérêt et votre attention.
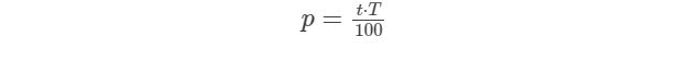
La proportion décisive de problèmes sur les pourcentages et les remises est Taux de pourcentage: 100 = pourcentage Valeur: Total.
En formule, nous pouvons l'exprimer brièvement comme ceci: t: 100 = p: t.
À partir de cette proportion, il est possible d'obtenir la formule directe pour le calcul du taux de pourcentage:

La formule inverse pour calculer la valeur pour pourcentage:

Et enfin la formule inversée pour le calcul du total:

Bien sûr, il y a deux routes: soit vous apprenez les trois formulets (directs et inverses) ou n'oubliez pas la proportion de génération et le résolvez de temps en temps (ce qui est sans aucun doute la meilleure façon).













